13CO(J=3-2) / 13CO(J=1-0) Intensity Ratio

pdrtpy ModelSet: wk2020

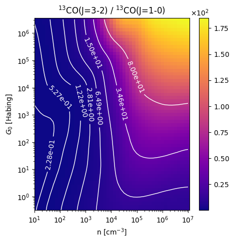
<sup>13</sup>CO(J=3-2) / <sup>13</sup>CO(J=1-0) Intensity Ratio

13CO(J=3-2) / 13CO(J=1-0) Intensity Ratio emitted from the surface of a PDR as a function of the cloud density n and the FUV flux incident on the cloud G0. The above model is at a viewing angle of i=30 degrees, where i=0 is face-on. The models in the wk2020 ModelSet are based on Kaufman et al. 2006 , Wolfire et al. 2010, and Neufeld & Wolfire 2016. They use these parameters. More details are in the FITS headers.

The FITS file is available for download.