H20-0S(3) 9.7 µm Intensity

pdrtpy ModelSet: wk2020

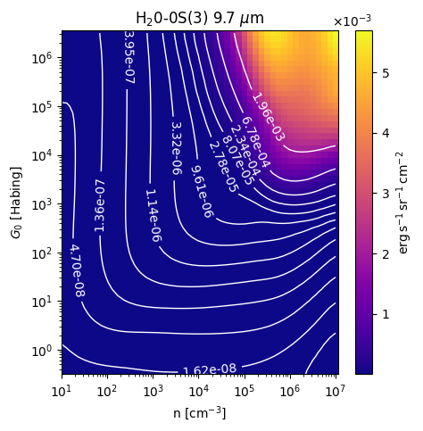
H<sub>2</sub>0-0S(3) 9.7 µm Intensity

H20-0S(3) 9.7 µm Intensity emitted from the surface of a PDR as a function of the cloud density n and the FUV flux incident on the cloud G0. The above model is at a viewing angle of i=0 degrees, where i=0 is face-on. The models in the wk2020 ModelSet are based on Kaufman et al. 2006 , Wolfire et al. 2010, and Neufeld & Wolfire 2016. They use these parameters. More details are in the FITS headers.

The FITS file is available for download.